黄山市东方苍龙文化旅游发展有限公司
弘扬传统文化,破除封建迷信
倡导科学理念,促进社会和谐

佛教平时都有一些什么节日?

时间 : 2025-10-17   | 最后更新:2025-10-19 作者:黄山市东方苍龙文化旅游发展有限公司

佛教平时都有一些什么节日?

佛教平时都有一些什么节日?

每一个宗教为纪念其教主或信仰的对象,都订有特殊的节日。如耶稣教、天主教有圣诞节、万圣节、复活节等;伊斯兰教有圣纪节、古尔邦节、开斋节等;道教有三元、三清、三会等节日;佛教也有许多特别的节日,其中以农历四月初八佛诞日、腊月初八佛成道日、七月十五佛欢喜日为佛教史上最重要的三个佛教节日。

佛诞日除举行浴佛法会外,另有一盛大的行像庆祝活动,也就是用装饰华美的车子载着佛像巡行城市街衢,供民众礼拜植福,所以又称「行城」、「巡城」。佛成道日也会在寺院中举行纪念仪式,特别是煮腊八粥供众,已成为民间的习俗;佛欢喜日为盂兰盆节,举行供僧法会,提倡孝亲报恩。

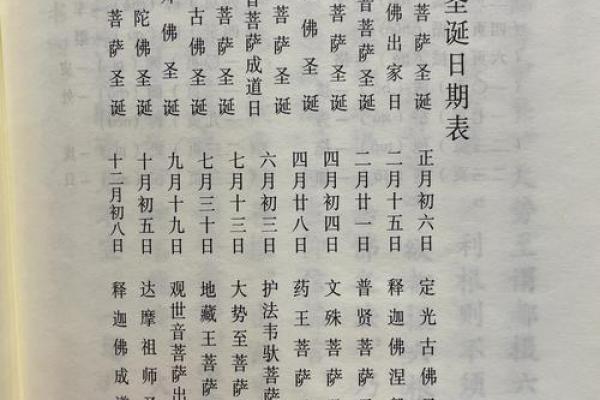
此外,中国还有许多佛菩萨的节庆,依时间先后有:

正月初一的弥勒菩萨圣诞、

正月初六的定光古佛圣诞、

二月十五的佛陀涅槃日、

二月十九的观音菩萨圣诞、

二月二十一的普贤菩萨圣诞、

三月十六的准提菩萨圣诞、

四月初四的文殊菩萨圣诞、

四月廿八的药王菩萨圣诞、

五月初三的伽蓝菩萨圣诞、

六月初三的韦驮菩萨圣诞、

六月十九的观音菩萨成道日、

七月十三的大势至菩萨圣诞、

七月三十的地藏菩萨圣诞、

九月十九的观音菩萨出家日、

九月三十的药师佛圣诞、

十一月十七的阿弥陀佛圣诞、

十二月廿九的华严菩萨圣诞等。

在这些节日期间,大部份的寺院也会举行纪念仪式,诵持与佛菩萨相关的经典或礼拜忏仪等。如代表欢喜的弥勒菩萨圣诞,正值新春佳节,一般寺院均举行礼拜千佛法会,象征迎接弥勒菩萨早日降诞成佛,并以此贺年。

观世音菩萨以其大慈大悲、救苦救难的广大悲愿,受到民间普遍信奉,因此观音菩萨圣诞、出家、成道纪念日,一般寺院均举行观音七,或礼拜大悲忏,或举行有关观音菩萨雕塑、画像展等修持、纪念活动。另外,在民间也会举行规模庞大的观音庙会等节庆活动。

在药师佛、阿弥陀佛圣诞时,寺院则举行三天至七天的佛七或药师法会。在佛教里,药师法门强调的是现世的平安吉祥、消灾延寿;修持阿弥陀佛的念佛法门,则着重在将来可以往生西方极乐世界,求得安稳解脱。可见一个重视现生,一个重视往生。总之,称念弥陀圣号或药师佛号,无非是藉此修持因缘,了生脱死,解决人生生和死两个最大的问题。

中国的佛教节庆,不但展现佛菩萨慈悲智能的精神,也反映佛教与中国民间固有思想、习俗相互融和发展的信仰特色。不过,佛教对节日的看法和世俗社会不太一样,例如夏安居、冬安居、每个月的六斋日或十斋日,也都算是节日。结夏、解夏、冬至、年朝是丛林极为重视的四大节日,而一般信徒则于六斋日、十斋日自行持斋、诵经、礼拜,甚至举行放生植福。

佛教平时都有一些什么节日?

自古以来,佛教最重视怀恩报德,不仅是报父母生养的恩德,更要报三宝、师长长养慧命的恩德,因此寺院每逢祖师诞辰均举行扫塔祭祖的法事,如《敕修百丈清规》即载有达摩忌、百丈忌及各寺历代诸祖忌等仪式。

在佛菩萨圣诞时举行各种庆祝活动,主要是希望大众在纪念、缅怀佛菩萨的慈心悲愿、功德特质之余,还要能唤起信众的宗教情操,激励自己,提醒大众学习并实践佛菩萨的普济精神。

上篇中秋节的来历以及节日习俗有哪些? 农历新年节日的起源及传统民俗下篇

最新文章

2025年10月
19
农历 八月廿八
乙巳年【蛇年】
丙戌月 辛酉日

最新更新

卯月主要用于算命吗

全面解析:胎记算命图解

一旦家中阳台放上这些东西,这是财神送钱,大发横财的征兆!

紫薇斗数绝胎养

手纹算命图解 财富手纹解读

观音灵签七十三签

陶白白八月份星座运势

择吉日的方法重点分享,给大家选择九月适合搬家的吉日

宗教佛教里那些喜闻乐见的财神

民间算命

指纹算命

手相查询

痣相图解

生男生女

眼皮跳测吉凶

喷嚏预测

配对
配对
配对
配对
查询
生日密码